What Is Incomplete Dominance In Science . incomplete dominance is a type of inheritance pattern in which one allele for a trait is not completely dominant over the other allele. in incomplete dominance, both alleles of the homozygous genotypes are not expressed over one another; A dominant and a recessive allele produce an intermediate trait because the dominance. what is incomplete dominance? Rather, an intermediate heterozygote is formed. The allele for red flowers is incompletely dominant over the allele for white flowers. this pattern of inheritance is described as incomplete dominance. Incomplete dominance is a key role factor in the variation of an organism’s features or characteristics. incomplete dominance is a form of gene interaction in which both alleles of a gene at a locus are partially expressed, often resulting.
from www.amoebasisters.com
what is incomplete dominance? incomplete dominance is a type of inheritance pattern in which one allele for a trait is not completely dominant over the other allele. The allele for red flowers is incompletely dominant over the allele for white flowers. Incomplete dominance is a key role factor in the variation of an organism’s features or characteristics. A dominant and a recessive allele produce an intermediate trait because the dominance. this pattern of inheritance is described as incomplete dominance. Rather, an intermediate heterozygote is formed. in incomplete dominance, both alleles of the homozygous genotypes are not expressed over one another; incomplete dominance is a form of gene interaction in which both alleles of a gene at a locus are partially expressed, often resulting.
Dominance vs. Codominance Science with The Amoeba Sisters
What Is Incomplete Dominance In Science A dominant and a recessive allele produce an intermediate trait because the dominance. in incomplete dominance, both alleles of the homozygous genotypes are not expressed over one another; A dominant and a recessive allele produce an intermediate trait because the dominance. incomplete dominance is a form of gene interaction in which both alleles of a gene at a locus are partially expressed, often resulting. incomplete dominance is a type of inheritance pattern in which one allele for a trait is not completely dominant over the other allele. The allele for red flowers is incompletely dominant over the allele for white flowers. this pattern of inheritance is described as incomplete dominance. Rather, an intermediate heterozygote is formed. what is incomplete dominance? Incomplete dominance is a key role factor in the variation of an organism’s features or characteristics.
From www.amoebasisters.com
Dominance vs. Codominance Science with The Amoeba Sisters What Is Incomplete Dominance In Science incomplete dominance is a type of inheritance pattern in which one allele for a trait is not completely dominant over the other allele. A dominant and a recessive allele produce an intermediate trait because the dominance. The allele for red flowers is incompletely dominant over the allele for white flowers. in incomplete dominance, both alleles of the homozygous. What Is Incomplete Dominance In Science.
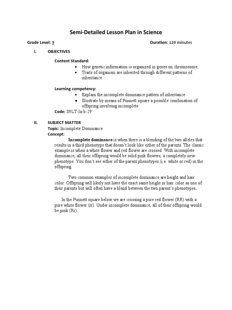
From www.scribd.com
Science 9 LP Dominance) PDF Dominance Genotype What Is Incomplete Dominance In Science Rather, an intermediate heterozygote is formed. The allele for red flowers is incompletely dominant over the allele for white flowers. A dominant and a recessive allele produce an intermediate trait because the dominance. this pattern of inheritance is described as incomplete dominance. in incomplete dominance, both alleles of the homozygous genotypes are not expressed over one another; Incomplete. What Is Incomplete Dominance In Science.
From www.showme.com
dominance Science, Biology, ShowMe What Is Incomplete Dominance In Science what is incomplete dominance? incomplete dominance is a form of gene interaction in which both alleles of a gene at a locus are partially expressed, often resulting. A dominant and a recessive allele produce an intermediate trait because the dominance. The allele for red flowers is incompletely dominant over the allele for white flowers. in incomplete dominance,. What Is Incomplete Dominance In Science.
From depositphotos.com
Difference Codominance Dominance Infographic Diagram Example What Is Incomplete Dominance In Science The allele for red flowers is incompletely dominant over the allele for white flowers. Incomplete dominance is a key role factor in the variation of an organism’s features or characteristics. incomplete dominance is a type of inheritance pattern in which one allele for a trait is not completely dominant over the other allele. Rather, an intermediate heterozygote is formed.. What Is Incomplete Dominance In Science.
From www.sciencefacts.net
Dominance Definition, Examples, and Diagrams What Is Incomplete Dominance In Science Rather, an intermediate heterozygote is formed. incomplete dominance is a type of inheritance pattern in which one allele for a trait is not completely dominant over the other allele. this pattern of inheritance is described as incomplete dominance. in incomplete dominance, both alleles of the homozygous genotypes are not expressed over one another; The allele for red. What Is Incomplete Dominance In Science.
From www.sciencefacts.net
Dominance Definition, Examples, and Diagrams What Is Incomplete Dominance In Science A dominant and a recessive allele produce an intermediate trait because the dominance. Rather, an intermediate heterozygote is formed. Incomplete dominance is a key role factor in the variation of an organism’s features or characteristics. this pattern of inheritance is described as incomplete dominance. incomplete dominance is a type of inheritance pattern in which one allele for a. What Is Incomplete Dominance In Science.
From www.showme.com
dominance problem Science ShowMe What Is Incomplete Dominance In Science incomplete dominance is a type of inheritance pattern in which one allele for a trait is not completely dominant over the other allele. The allele for red flowers is incompletely dominant over the allele for white flowers. what is incomplete dominance? Rather, an intermediate heterozygote is formed. A dominant and a recessive allele produce an intermediate trait because. What Is Incomplete Dominance In Science.
From studylib.net
DOMINANCE * Worksheet 2 What Is Incomplete Dominance In Science Rather, an intermediate heterozygote is formed. incomplete dominance is a form of gene interaction in which both alleles of a gene at a locus are partially expressed, often resulting. what is incomplete dominance? this pattern of inheritance is described as incomplete dominance. incomplete dominance is a type of inheritance pattern in which one allele for a. What Is Incomplete Dominance In Science.
From studylib.net
Dominance Worksheet What Is Incomplete Dominance In Science incomplete dominance is a form of gene interaction in which both alleles of a gene at a locus are partially expressed, often resulting. in incomplete dominance, both alleles of the homozygous genotypes are not expressed over one another; this pattern of inheritance is described as incomplete dominance. Rather, an intermediate heterozygote is formed. incomplete dominance is. What Is Incomplete Dominance In Science.
From byjus.com
With the help of an example, differentiate between dominance What Is Incomplete Dominance In Science Rather, an intermediate heterozygote is formed. incomplete dominance is a type of inheritance pattern in which one allele for a trait is not completely dominant over the other allele. incomplete dominance is a form of gene interaction in which both alleles of a gene at a locus are partially expressed, often resulting. A dominant and a recessive allele. What Is Incomplete Dominance In Science.
From www.slideserve.com
PPT Dominance & Codominance PowerPoint Presentation ID What Is Incomplete Dominance In Science what is incomplete dominance? this pattern of inheritance is described as incomplete dominance. Incomplete dominance is a key role factor in the variation of an organism’s features or characteristics. in incomplete dominance, both alleles of the homozygous genotypes are not expressed over one another; incomplete dominance is a type of inheritance pattern in which one allele. What Is Incomplete Dominance In Science.
From studyschoolsgraffito.z21.web.core.windows.net
And Codominant Traits Worksheets What Is Incomplete Dominance In Science incomplete dominance is a type of inheritance pattern in which one allele for a trait is not completely dominant over the other allele. The allele for red flowers is incompletely dominant over the allele for white flowers. what is incomplete dominance? this pattern of inheritance is described as incomplete dominance. in incomplete dominance, both alleles of. What Is Incomplete Dominance In Science.
From www.reddit.com
Why is CoDominance taught in a way that contradicts itself? What Is Incomplete Dominance In Science A dominant and a recessive allele produce an intermediate trait because the dominance. The allele for red flowers is incompletely dominant over the allele for white flowers. this pattern of inheritance is described as incomplete dominance. incomplete dominance is a form of gene interaction in which both alleles of a gene at a locus are partially expressed, often. What Is Incomplete Dominance In Science.
From thebiologynotes.com
Dominance Definition, Mechanism, Examples What Is Incomplete Dominance In Science incomplete dominance is a type of inheritance pattern in which one allele for a trait is not completely dominant over the other allele. in incomplete dominance, both alleles of the homozygous genotypes are not expressed over one another; Rather, an intermediate heterozygote is formed. Incomplete dominance is a key role factor in the variation of an organism’s features. What Is Incomplete Dominance In Science.
From www.expii.com
Dominance — Definition & Examples Expii What Is Incomplete Dominance In Science incomplete dominance is a form of gene interaction in which both alleles of a gene at a locus are partially expressed, often resulting. A dominant and a recessive allele produce an intermediate trait because the dominance. incomplete dominance is a type of inheritance pattern in which one allele for a trait is not completely dominant over the other. What Is Incomplete Dominance In Science.
From laney-lee.com
Dominance vs Codominance Laney Lee What Is Incomplete Dominance In Science in incomplete dominance, both alleles of the homozygous genotypes are not expressed over one another; A dominant and a recessive allele produce an intermediate trait because the dominance. The allele for red flowers is incompletely dominant over the allele for white flowers. what is incomplete dominance? this pattern of inheritance is described as incomplete dominance. Rather, an. What Is Incomplete Dominance In Science.
From www.youtube.com
dominance /science biology/ YouTube What Is Incomplete Dominance In Science what is incomplete dominance? incomplete dominance is a form of gene interaction in which both alleles of a gene at a locus are partially expressed, often resulting. this pattern of inheritance is described as incomplete dominance. Incomplete dominance is a key role factor in the variation of an organism’s features or characteristics. incomplete dominance is a. What Is Incomplete Dominance In Science.
From www.studocu.com
dominance vs Codominance dominance definition What Is Incomplete Dominance In Science incomplete dominance is a form of gene interaction in which both alleles of a gene at a locus are partially expressed, often resulting. this pattern of inheritance is described as incomplete dominance. Rather, an intermediate heterozygote is formed. Incomplete dominance is a key role factor in the variation of an organism’s features or characteristics. A dominant and a. What Is Incomplete Dominance In Science.